泊松分布计算器
关于泊松分布计算器
泊松分布是一种统计与概率学里常见到的离散概率分布,由法国数学家西莫恩·德尼·泊松(Siméon-Denis Poisson)在1838年时发表。
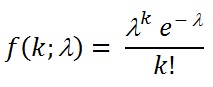
概率论中常用的一种离散型概率分布。若随机变量 X 只取非负整数值,取k值的概率为

(k=0,1,2,…)
则随机变量X 的分布称为泊松分布,记作P(λ)。这个分布是S.-D.泊松研究二项分布的渐近公式是时提出来的。泊松分布P (λ)中只有一个参数λ ,它既是泊松分布的均值,也是泊松分布的方差。在实际事例中,当一个随机事件,例如某电话交换台收到的呼叫、来到某公共汽车站的乘客、某放射性物质发射出的粒子、显微镜下某区域中的白血球等等,以固定的平均瞬时速率 λ(或称密度)随机且独立地出现时,那么这个事件在单位时间(面积或体积)内出现的次数或个数就近似地服从泊松分布。因此泊松分布在管理科学,运筹学以及自然科学的某些问题中都占有重要的地位。
Copyright © 2026 256查询网 All Rights Reserved

